固态锂电池十年(2011—2021)回顾与展望
吴敬华, 杨菁, 刘高瞻, 王脂胭, 张秩华, 俞海龙, 姚霞银, 黄学杰

Review and prospective of solid-state lithium batteries in the past decade2011—2021
Jinghua WU, Jing YANG, Gaozhan LIU, Zhiyan WANG, Zhihua ZHANG, Hailong YU, Xiayin YAO, Xuejie HUANG
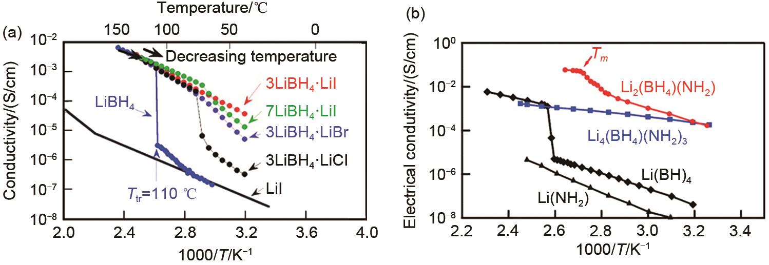
图7 (a) LiBH4LiBH4-LiX(X = ClBrI)电导率和温度的关系[96](b) Li2(BH4)(NH2)Li4(BH4)(NH2)3 离子电导率和温度的关系[97]
Fig.7 (a) The relationship between conductivity and temperature of LiBH4 and LiBH4-LiX(X = ClBrI)[96]; (b) The relationship between conductivity and temperature of Li2(BH4)(NH2) and Li4(BH4)(NH2)3[97]