[an error occurred while processing this directive]
电化学储能电池技术主题识别、演化及风险分析
张力菠(), 王格格
Topic identification, evolution and risk analysis of electrochemical energy storage battery technology
Libo ZHANG(), Gege WANG

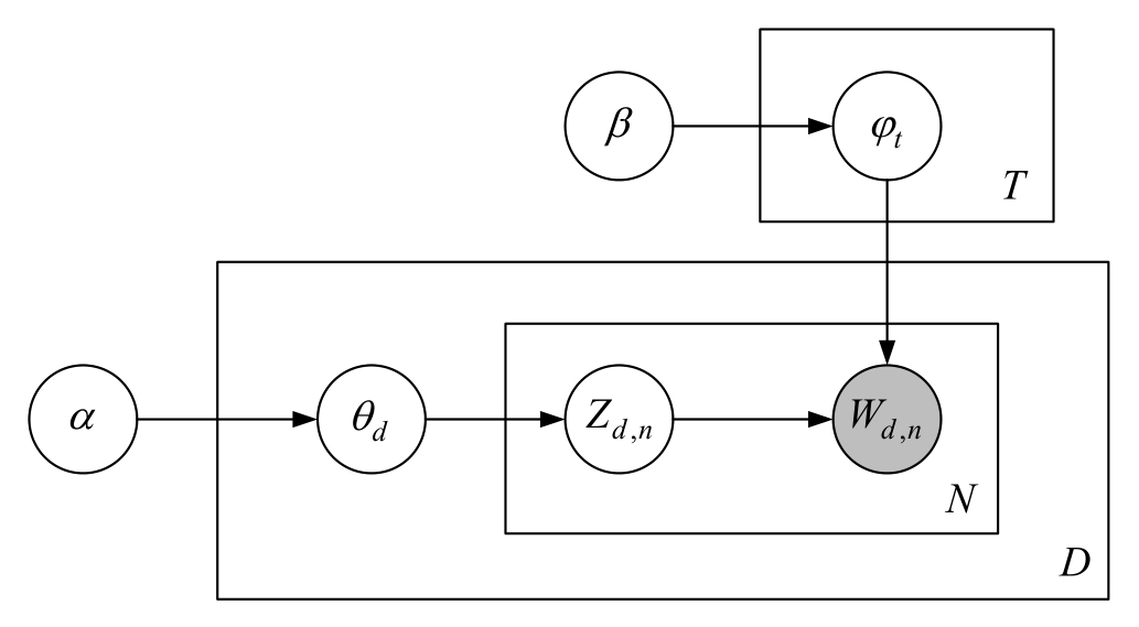
图2. 电化学储能电池技术LDA模型

Fig. 2. LDA model of electrochemical energy storage battery technology