电化学储能电池技术主题识别、演化及风险分析
Topic identification, evolution and risk analysis of electrochemical energy storage battery technology
收稿日期: 2023-03-29 修回日期: 2023-03-29 网络出版日期: 2023-04-21
| 基金资助: |
|
Received: 2023-03-29 Revised: 2023-03-29 Online: 2023-04-21
作者简介 About authors
张力菠(1973-),男,南京航空航天大学经济与管理学院教授,研究方向为能源-经济-环境系统建模与仿真、能源转型与风险等,E-mail:
电化学储能电池技术作为发展潜力极大的一类储能技术,其研发态势受到全球各国关注。然而由于电化学储能电池技术本身的复杂性和广泛性,其关键技术主题、未来研发趋势及技术发展的风险水平尚未得到全面综合的科学分析。基于专利数据,宏观分析专利数据申请特征,使用LDA主题模型识别技术主题并基于后离散方法分析主题演化趋势,通过贝叶斯网络模型对热门研发领域技术发展进行风险分析。结果显示:电化学储能电池技术领域共存在15个技术主题,主题演化趋势分为上升型、平稳型和衰退型。从专利数量、产业链和电池类型三个角度进行分析,发现电化学储能电池技术全球研发呈持续增长态势,产业链上游原材料相关技术是研发的关键领域,但可能存在技术饱和现象或遭遇瓶颈,中游加工领域相关技术正逐渐成为研发热门方向。在产业链视角下对中游加工领域技术发展的风险评估为中等水平,关键风险因子有关键技术垄断、上游原材料价格上涨、行业标准滞后、产业链协作不充分。本研究为电化学储能电池技术的发展规划及研发决策提供有益的参考。
关键词:
As a kind of energy storage technology with great potential for development, the R&D (Research and Development) trend of electrochemical energy storage battery technology has attracted worldwide attention. However, due to the complexity and extensiveness of the electrochemical energy storage battery technology, its key technology topics, future R&D trends and risk level of technology development have not been comprehensively or scientifically analyzed. Based on the patent data, analyze the application characteristics of the patent data macroscopically, use the LDA (Latent Dirichlet Allocation) topic model to identify technical topics and analyze the evolution trend of the topics based on the post-discrete method, use Bayesian network model to analyze the risk of technology development in popular R&D fields. The results show that there are 15 technical topics in the field of electrochemical energy storage battery technology, and the evolution trend of the topics is divided into ascending, stationary and declining types. Analyzing from the perspectives of patent quantity, industrial chain and battery types, the global R&D of electrochemical energy storage battery technology shows a continuous growth trend. Raw material related technology in the upstream of electrochemical energy storage battery industry chain is the key field of R&D, but there may be technology saturation or bottlenecks. The related technologies in the midstream processing field are gradually becoming a hot research and development direction. The processing related technology in the midstream is gradually becoming a popular R&D direction. The result of risk assessment for technological development in midstream processing field from the perspective of industrial chain is medium level, and key risk factors are the monopoly of key technologies, the rise in the price of upstream raw materials, the lagging industry standards, and the insufficient cooperation in the industrial chain. This study provides a useful reference for the development planning and R&D decision-making of electrochemical energy storage battery technology.
Keywords:
本文引用格式
张力菠, 王格格.
ZHANG Libo.
按能量存储的形式,储能技术可分为机械储能、电化学储能、电磁储能、化学储能和热能储能[5]。其中,电化学储能技术的发展潜力最大,是全球储能技术创新发展的重点领域[6],其2021年全球新增装机容量在全球储能新增装机容量中占比达57.6%,位列第一[7]。电化学储能技术指利用化学反应,将电能转化为化学能进行存储和再释放,具有响应速度快、不易受环境影响等优势[8],电化学储能电池是电化学储能技术的本体技术[9],其中锂离子电池、铅酸电池、液流电池等目前已在全球储能项目中得到广泛应用[10],其它新型电化学储能电池技术也取得了突破性研究进展,例如美国一研究团队提出一种水基钙离子电池,并指出钙离子电池有望取代锂离子电池技术[11]。目前电化学储能电池技术领域的研究多从组件材料选择及制备方法改进角度出发,探索各种类型电池的生产制造以及电池的回收再利用方法,涵盖不同类型电池组件例如正极、负极、电解质、隔膜和其它辅材等,不同的研究目标包括电化学电池性能提升、成本降低、寿命增加等[12-14]。
即便近年来发展非常迅速,但由于电化学储能电池技术本身的复杂性和广泛性,其关键技术及未来研发趋势及可能存在的风险目前还并不清晰,在一定程度上影响国家及产业的相关发展规划和战略布局。鉴于专利信息极高的代表性和新颖性[15],针对专利数据进行文本挖掘以识别电化学储能电池领域热门技术主题,进而分析其技术发展面临的风险,不仅对科学合理的相关技术研发决策有重要参考价值,而且有助于掌握电化学储能电池技术发展与竞争的主动权。
目前已有部分学者针对电化学储能电池技术专利展开研究,如Mueller等[16]利用联合专利分类号(CPC)及引文分析确定电池技术类别中的重要专利;Block和Song[17]基于Derwent手动代码(DMC)研究固态电池技术的发展趋势。现有研究主要聚焦于专利中的结构化信息如专利分类编码,进行引文分析或趋势分析以考察技术研发趋势,但对于范围广泛的电化学储能电池技术而言,现有的专利分类编码难以描述详细技术主题,存在局限性[18]。因此,对于发展态势当前备受关注的电化学储能电池技术,其相关领域专利数据的挖掘与主题识别亟需深入的系统研究。Latent Dirichlet Allocation(LDA)主题模型是由Blei等提出的一种无监督学习方法[19],可以从大量文档中提取出潜在主题,实现文档的高效聚类,在专利数据挖掘研究中得到广泛应用,如Ma等[20]分析了近年电动汽车专利的研究热点和领域,得出了不同领域的技术发展趋势;Zhang等[21]将区块链技术专项划分为不同时间阶段并分别应用LDA分析以得到不同时间段之间主题的相关性。此外,贝叶斯网络作为一种能够在不确定条件下进行建模决策,对复杂网络中的变量关系进行概率推理的方法,在不同领域的风险分析的研究中均有应用,如Akhavan等[22]通过贝叶斯网络对知识型和启动型项目进行风险评估;Carless等[23]使用贝叶斯网络评估新兴核能国家中的核扩散和安全风险。
由于电化学储能电池技术范围较广,仅利用专利中结构化信息进行研究具有一定局限性,而利用主题模型可以深入挖掘专利非结构化文本中的有效信息,因此本文采用LDA主题模型挖掘专利文本信息,识别电化学储能电池技术领域专利中的潜在技术主题并分析其演化趋势,并采用贝叶斯网络模型进一步在产业链视角下分析电化学储能电池热门技术领域的技术发展所处的风险水平及关键风险因子,为电化学储能电池技术的发展规划及研发决策提供有益的参考。
1 研究框架
本文提出了一个包含技术主题识别、技术主题演化趋势分析和技术发展风险分析的集成研究框架。以电化学储能电池技术专利数据为研究对象,首先收集专利数据,进行数据预处理;然后采用LDA主题模型识别电化学储能电池技术主题;之后基于后离散方法,使用主题重要度和主题演化趋势指标分析被识别出的技术主题的演化趋势;针对以上分析识别出的热门技术领域,进一步使用贝叶斯网络模型,从电化学储能电池产业链角度对技术发展的风险水平和关键风险因子进行风险分析,最后提炼电化学储能电池技术规划与发展的相关启示。具体研究框架如图1所示。
图1
1.1 基于LDA主题模型的电化学储能电池技术主题识别
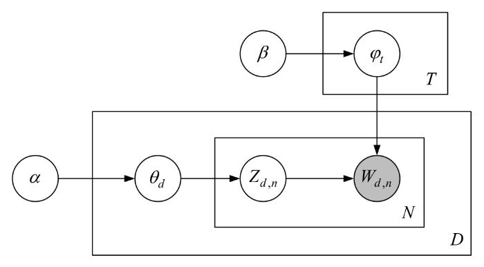
主题模型使用词袋法将每个文档视为一个词频向量,使得文本信息得以转换为数字信息。LDA主题模型是一个三层贝叶斯概率模型,包含文档、主题和词共三层结构[24]。本文中,文档即收集的电化学储能电池技术专利文本集合,每项专利文本可以表示为相关技术主题的概率分布,每个技术主题又可表示为单词的概率分布。LDA算法的核心思想为降维,适用于大规模文档集或语料库中的隐含主题识别,可用于自然语言的建模[25]。由于本文所研究的专利文本集合中包含了约三万多个单词,因此通过使用LDA模型,可将模型识别出的较少数量的电化学储能电池技术主题定义为多个关键主题词的概率分布,并使用定义的主题解读专利文本,实现大规模电化学储能电池技术专利数据集的文本分析。LDA算法理论的图模型见图2。
图2
图2
电化学储能电池技术LDA模型
Fig. 2
LDA model of electrochemical energy storage battery technology
其中,箭头指向表示前后变量间的条件依赖关系,阴影表示可观测变量,其它变量为隐变量。其中,
LDA模型运行流程为,首先确定主题数,并输入电化学储能电池技术领域部分专利文本来训练LDA模型,通过调整参数使得模型达到最优效果,然后模型会生成每项电化学储能电池技术专利文本对应的主题概率分布和单词概率分布。生成主题和词的联合分布如
此外,由于LDA模型本身无法确定最佳主题数量,本文采用一致性指标(Coherence)确定最优主题数。一致性指标通过衡量每个主题中高概率单词之间的语义相似程度,作为判断模型效果的依据,并通过计算不同主题数目下模型相应的一致性值,以确定最优主题数[26]。本文对主题数分别取值为1-20时的模型一致性依次进行计算,选取一致性值最高的主题数作为电化学储能电池技术LDA主题模型的输入参数。
1.2 基于后离散方法的电化学储能电池技术主题演化分析
基于识别的技术主题,进一步采用Griffiths和Steyvers提出的后离散方法[27],计算主题重要度指标(如
其中,
进一步分析电化学储能电池技术主题演化趋势,基于Sun等[28]提出的主题演化趋势指标,电化学储能电池技术主题演化趋势指标
当电化学储能电池技术主题演化趋势指标
1.3 基于贝叶斯网络的电化学储能电池技术发展风险分析
基于技术主题演化趋势分析结果,在产业链视角下,针对识别出的热门研发领域,使用贝叶斯网络模型方法,分析其技术发展所面临的风险。贝叶斯网络基于贝叶斯定理,综合概率论与图论知识,对不确定性事件进行推理。
针对电化学储能电池热门技术发展的贝叶斯网络风险分析模型构建过程包括贝叶斯网络结构建立和风险参数学习。首先通过文献分析方法和对电化学储能电池领域相关专家进行专家访谈,确定风险类型和具体风险因子,形成电化学储能电池热门技术领域风险清单;之后基于风险清单,构建以“风险因子—风险类型—总风险”为风险分析框架的贝叶斯网络结构。对已构建的贝叶斯网络结构中各因子的发生概率和影响程度进行专家打分,以五分李克特量表进行衡量(1-5分表示程度由低到高),各因子风险水平计算方式如
其中,
图3
进一步通过
其中,
2 实证分析
2.1 数据收集及预处理
本文以世界知识产权组织(WIPO)开发的PATENTSCOPE专利数据库作为数据源。使用Selenium自动化爬虫技术收集2013/1/1至2022/6/30电化学储能电池技术专利。根据电化学储能电池类型设定的检索式为EN_TI:(electrochemical OR "Lithium-ion" OR "Li-ion" OR "Lithium sulphur" OR "Na-ion" OR "K-ion" OR "Ca-ion" OR "Mg-ion" OR "Lead-acid" OR "Sodium sulphur" OR "NaS" OR "nickel cadmium" OR "Nicd" OR "nickel metal hydride" OR "Zebra" OR "Pb-acid" OR "metal-air" OR "Li-air" OR "Ca-air" OR "Mg-air" OR "Fe-air" OR "Al-air" OR "Zinc-air" OR "redox flow" OR "Vanadium redox flow" OR "VRB" OR "Zinc Bromide" OR "ZnBr" OR "Polysulphide Bromine flow" OR "PSB" OR "hybrid flow" ) AND EN_TI:(cell* OR batter*)。除去无关和重复的专利后共获得52 257项专利数据,形成电化学储能电池技术专利数据集。
形成专利数据集后,利用Python编程对专利摘要文本进行数据预处理,包括分词,去除标点符号、停用词,和词性标注、词形还原等,结合专业知识和后续模型应用过程中重复筛选,共确定59个停用词,如“use”,“method”, “invention”,“comprise”等,构建电化学储能电池技术专利词典,进而将专利摘要文本数据转换为主题模型所需的DTM(文档—术语矩阵)格式数据,即每篇专利摘要所含单词的词频。
2.2 专利申请特征分析
对电化学储能电池技术专利申请特征进行宏观分析,其中全球和中国的专利申请量随时间的变化如图4所示(由于专利文件的公开通常需要18个月左右,因此2021年至2022年6月的申请情况仅供参考)。总体来看,除2020年申请量较上年有所下降外,全球电化学储能电池技术专利申请量呈持续增长态势,2016—2018年增长幅度较大,中国变化趋势与全球一致。
图4
图5为全球各专利局电化学储能电池技术专利申请情况,中国专利局专利申请数量最多,约占全球专利申请总量的63.5%,美国申请专利量占10.9%位居第二,通过世界知识产权组织申请的PCT(专利合作条约)约占10.3%。
图5
图5
电化学储能电池技术专利申请国家分布情况
Fig. 5
Distribution of electrochemical energy storage battery technology patent applications in countries
2.3 技术主题识别
以电化学储能电池技术专利摘要文本为识别对象应用LDA主题模型,首先确定模型最优主题数,主题数量的设定决定了主题识别结果。图6显示了模型在设置不同主题数时的一致性值,一致性值越大,代表模型效果越好,通过对比可知当主题数设置为15时,一致性值达到最大为0.641。因此,选取主题数为15,即LDA主题模型识别出电化学储能电池技术共15个主题。
图6
图6
不同主题数下一致性值
Fig. 6
Coherence value of the model with different number of topics
LDA 主题模型识别出的15主题分别标号为Topic1,Topic2,……,Topic15(排名不分先后)。进一步将各个主题下提取出的主题词用词云图可视化,图7展示每个主题中的主题词聚类结果,词云图中单词越大代表该主题词在主题中所占比重越大,与主题内容越相关。
图7
图7
电化学储能电池技术主题词云图
Fig. 7
Topic word cloud diagram of electrochemical energy storage battery technology
通过分析各个主题对应的主题关键词,结合各主题下相关的专利摘要具体内容,确定各主题名称。对于每一个技术主题,均进行反复核对,并从划分入各个主题的专利数据中进行抽样检查,确保每一类技术主题下的专利能够反映该技术主题。
(1)Topic1金属-空气电池技术:概率前十位的主题词为metal, cathode, anode, air, copper, nickel, foil, screw, zinc, catalyst。主题词中包含了金属-空气电池技术中重点研发的电极,催化剂等电池组成部分。例如金属阳极“锌”“铝”等,其中锌-空气电池环境友好且安全性高,是目前研究较成熟的一类金属-空气电池;“催化剂”的开发是提高金属-空气电池效率的关键,铜、镍常用作为非贵金属催化剂开发的原材料。为举例说明,以Topic1下概率最高的一项公布号为20130202974的美国专利为例,其专利内容为金属空气电池及空气阴极的生产方法,该专利在摘要中出现了metal, air, cathode等词,其IPC分类号为H01M 12/06,正为含金属电极和气体电极的混合电池及其制造。
(2)Topic2电池结构零件设计及制造:概率前十位的主题词为part, assembly, portion, terminal, direction, surface, plurality, section, region, case。主题词中零件、组件、端子、壳体等词语意指电池的结构零件,其它主题词还有连接、延伸等,是与电池结构零件的构造设计及制造过程相关的词语。结合相关专利,例如Topic2下概率最高的一项公布号为WO/2021/234106的PCT专利,其专利内容为提出了一种易于制造且经济的电化学组件,其专利摘要中有assembly, connect, extend等词,其IPC分类号有H01M 10/04、H01M 50/503等,涉及二次电池、零部件及其制造技术领域。
(3)Topic3氧化还原液流电池(RFB)及其组件:概率前十位的主题词为flow, electrolyte, redox, air, slide, gas, channel, system, chamber, tank。RFB的重要组件有外部装电解液的液罐,以及容纳两个电极和流动电解液的反应室。RFB的基本原理是电解液发生的氧化还原反应,通过泵和管路将电解液从液罐输送通过反应室,实现化学能和电能的转换,描述RFB电池本身及其组件的相关词语在主题词中均有体现。相关专利有公布号为3724942的一项欧洲专利局公布专利,其内容为研发一种氧化还原液流电池系统。
按照同样的方法解读主题Topic 4-15,15个技术主题识别结果如表1所示,并从电化学储能电池产业链及特定电池类型的角度对主题进行分类。其中,由于锂离子电池为电化学储能电池主流电池类型,主题词“lithium”在整体专利集文本中出现概率较高,但各技术主题下的专利仍涉及其它类型电池,因此未在技术主题名称中特别定义锂离子电池。
表1 电化学储能电池技术主题识别结果
Table 1
| 分类 | 主题号 | 主题名称 | 含专利数量排名 |
|---|---|---|---|
产业链上游 电池原材料 | Topic12 | 电极复合材料 | 2 |
| Topic7 | 电极活性物质材料 | 3 | |
| Topic8 | 正负电极制备方法 | 4 | |
| Topic11 | 电解液及其制备 | 5 | |
| Topic13 | 电池隔膜及其制备 | 7 | |
| Topic14 | 导电剂、粘结剂及其制备 | 15 | |
产业链中游 电池加工 | Topic5 | 电池生产制造相关装置及设备 | 1 |
| Topic4 | 电池充放电相关技术及工艺 | 6 | |
| Topic9 | 电池干燥方法 | 9 | |
| Topic2 | 电池结构零件设计及制造 | 11 | |
| Topic10 | 电池封装 | 14 | |
产业链下游 应用和回收 | Topic6 | 电池组性能优化及应用 | 8 |
| Topic15 | 铅酸电池及其回收处理 | 12 | |
| 特定类型电池 | Topic3 | 氧化还原液流电池及其组件 | 10 |
| Topic15 | 铅酸电池及其回收处理 | 12 | |
| Topic1 | 金属-空气电池技术 | 13 |
从以上主题识别结果可以看出,电化学储能电池技术研发专利与电化学储能电池产业链密切相关,其中有6个主题与上游电池原材料有关、5个主题与中游电池加工有关,2个主题与下游应用和回收有关。上游原材料相关主题中,专利数量排名第二、三位的主题均与电池电极材料有关,分别为电极复合材料的研发和电极活性物质材料,例如硅碳复合材料的制备、复合氧化物用作正极活性物质材料等;排名第四、五位的主题分别为电池正负电极和电解液的制备,电池隔膜及其制备主题位列第七,导电剂、粘结剂及其制备主题排第十五位,说明电化学储能电池组件中电极和电解液的研发最受关注,其次是电池隔膜,最后是导电剂和粘结剂。
中游电池加工相关的主题有专利数量排名第一位的主题为电池生产制造相关装置及设备,例如超声波手工焊机、电池片焊接装置、辅助电池串并联组合的夹具等;位列第十一的电池结构零件设计及制造,属于电池加工必需的非活性部件。除了加工设备及必需部件,其它主题与电池制作环节中相关工艺有关。以锂离子电池为例,整个电池制作流程可以分为前段极片制作、中段电芯制作和后段电池组装,后段工艺又可分为化成、分容、检测和包装四道工序。排名第六位的电池充放电相关技术及工艺,专利内容涉及化成、分容,化成即通过给予一定的电流激活电池正负极活性物质以使电池拥有放电能力,分容即对化成完的电池进行充放电以检测相关参数对电池进行分级;位列第九的主题电池干燥方法,在整个电池制程中的作用都十分关键;位列第十四的电池封装技术主题,包括封装材料如塑膜和铝壳等,以及封装形式如圆柱、方形和软包。
由于本文研究对象为电化学储能本体技术相关专利,识别出的主题涉及上下游应用和回收的主题数量较少。其中专利数量排名第八位的电池组性能优化及应用,内容涉及单体电池成组化对电池组性能影响的研究,以及从电池组具体应用角度进行性能优化的研究,相关专利例如蓄电池组单体一致性恢复方法、零点电源与锂离子电池的电池组作机器人电源的应用等。排名第十二位的铅酸电池及其回收处理技术主题,主要涉及电池回收的预处理,预处理过程中产生的各类废料的回收处理,金属铅分离处理和再生铅利用等。
从电化学储能电池类型分析识别出的主题,除主流锂离子电池技术外,通过模型被识别出的电池技术类型还有氧化还原液流电池、铅酸电池、金属-空气电池,说明目前较多的专利技术研发重点集中在这四种电池类型。
总体来看,按主题含专利数量排序,前五位的技术主题中,除了排名第一位的主题与电化学储能电池产业链中游加工相关,第二至四位主题均为上游原材料相关的技术研发,涉及电化学储能电池的必需组件电极、电解液。能够被识别出的涉及特定电池类型的主题,除锂离子电池外,只有氧化还原液流电池、铅酸电池和金属-空气电池,其它类型电化学储能电池技术研发专利数量处于较低水平。
2.4 技术主题演化
通过LDA模型识别出电化学储能电池技术主题后,进一步计算各主题每年的重要度,进而分析技术主题演化的趋势。由于主题演化趋势分析涉及时间,而专利公布存在滞后性,因此在本小节中,2021—2022/6专利数据不纳入主题重要度计算,选取时间窗口
表2 电化学储能电池技术主题演化趋势分类
Table 2
| 上升型( | 平稳型( | 衰退型( | |||
|---|---|---|---|---|---|
| 主题名称 | 主题名称 | 主题名称 | |||
| 电池生产制造相关装置及设备 | 2.372 | 电池充放电相关 技术及工艺 | 1.070 | 电池结构零件 设计及制造 | 0.879 |
| 电池封装 | 1.407 | 电极复合材料 | 1.050 | 电解液及其制备 | 0.869 |
| 电池干燥方法 | 1.393 | 铅酸电池及其 回收处理 | 1.019 | 电池隔膜及其制备 | 0.851 |
电池组性能 优化及应用 | 1.149 | 正负电极制备方法 | 0.936 | 金属-空气电池技术 | 0.735 |
氧化还原液流电池 及其组件 | 0.929 | 电极活性物质材料 | 0.564 | ||
导电剂、粘结剂 及其制备 | 0.902 | ||||
图8
图9
衰退型技术主题中,电极活性物质材料主题重要度不断下降,但其重要度仍旧始终高于其他主题,说明该技术主题一直是研究热点,但自2013年以来受关注度不断下降,可能存在研究饱和的现象或遭遇技术瓶颈。电解液及其制备技术主题总体重要度虽然有所下降,但自2018年起似有回升趋势,可能重新受到研发人员关注。其他衰退型主题重要度一直处于较低水平,不过虽然总体重要度有所下降,但下降幅度不大。
图10显示了上升型技术主题演化趋势,可以明显看出电池生产制造相关装置及设备技术主题演化呈现了高幅度的上升趋势,说明该技术主题逐渐成为电化学储能电池技术领域的研发热点,其原因或在于电化学储能电池在全球各个储能项目中得到越来越广泛的实际应用,研究人员不再仅仅聚焦于电化学储能电池本身的技术研发,而愈发关注电化学储能电池在实际生产制造环节的外部保障。其它三个上升型技术主题中,还有两个主题与电化学储能电池产业链中的中游加工环节有关,分别是电池干燥方法和电池封装,自2013年来主题重要度呈小幅持续上升。而电池组性能优化及应用主题演化趋势较为波动,其主题重要度经历了先上升下降而后再次上升下降的变化。技术主题演化趋势呈上升型表明其技术研发逐渐受到更多关注,代表了电化学储能电池技术领域整体的研发方向,研究人员应加强该领域的研发重视程度。
图10
2.5 产业链视角下电化学储能电池热门领域技术发展风险分析
根据技术主题演化趋势分析结果可知,电化学储能电池产业链中的中游加工环节是目前电化学储能电池技术的热门研究领域,因此本小节选择电化学储能电池中游加工技术作为风险分析对象,从产业链角度对其技术发展所处的风险水平及关键风险因子进行分析。
在产业链视角下,电化学储能电池中游加工技术的高质量发展,受到技术本身相关因素,以及政策、经济和产业环境多方面因素的影响。结合电化学储能电池领域相关专家访谈和文献学习的方法,构建产业链视角下电化学储能电池中游加工技术发展风险评价贝叶斯网络结构如图11所示,以电化学储能电池产业链中游技术发展风险为终端节点,包含技术风险、经济风险、政策风险和环境风险四类风险类型和13个风险因子节点。
图11
图11
产业链中游加工技术发展风险分析贝叶斯网络结构图
Fig. 11
Bayesian network structure chart for risk analysis of technological development in midstream processing field of industrial chain
其中,技术风险类型属于技术发展内部风险因素,技术本身的安全隐患限制了加工技术的发展速度,自动化水平低限制了加工技术的高精度发展,关键技术垄断造成核心技术缺失会使得整体技术发展受阻,技术革新速度与需求的不匹配会导致已研发的技术难以得到实际应用。政策风险、经济风险和环境风险属于技术发展外部风险因素,政策风险方面,政策的支持是技术发展的重要保障,目前电池行业标准不规范使得加工技术难以实现高质量加工电池,电池安全性能评估监管机构的缺失同样阻滞了技术的高质量发展;经济风险方面,上游原材料价格的上涨使得中游相关企业难以投入更多技术研发资金,规模化程度低造成企业难以实现加工技术的规模经济效应以带来成本的降低,商业模式的不成熟使得加工企业缺乏收入保障;环境风险方面,产业链间的协作例如电池生产企业与设备制造商间的价格打压等问题会造成技术研发积极性受挫,加工设备的国际间进出口壁垒会造成技术发展水平的失衡,发生重大安全事故将对技术研发舆论环境造成不利影响。
基于已构建的中游加工技术发展风险分析的贝叶斯网络结构,进一步确定贝叶斯网络参数以进行风险评估。根据
图12
分析不同风险类型的风险水平,计算得到技术风险、经济风险、政策风险和环境风险的风险值分别为1.999、1.925、1.958、1.886。其中,技术风险的风险水平值相对较高,其次分别是政策风险、经济风险、环境风险。为进一步得到电化学储能电池产业链中游技术发展的关键风险因子,在Netica软件中对风险类型进行敏感性分析,根据互信息值大小判断变量间相关影响的程度,各风险因子的互信息值如表3所示。
表3 电化学储能电池中游技术发展风险敏感性分析
Table 3
| 风险类型 | 风险因子 | 互信息值 |
|---|---|---|
| 技术风险 | 技术革新速度与需求不匹配 | 0.01460 |
| 自动化水平低 | 0.00516 | |
| 关键技术垄断 | 0.02109 | |
| 存在安全隐患 | 0.00816 | |
| 经济风险 | 商业模式不成熟 | 0.00751 |
| 规模化程度低 | 0.01812 | |
| 上游原材料价格上涨 | 0.06437 | |
| 政策风险 | 政策支持不足 | 0.00370 |
| 行业标准滞后 | 0.02852 | |
| 监管评估机构缺失 | 0.02028 | |
| 环境风险 | 产业链协作不充分 | 0.09684 |
| 发生重大事故 | 0.00257 | |
| 国际间进出口壁垒 | 0.01236 |
结果显示电化学储能电池中游技术发展面临的技术风险的关键风险因子为关键技术垄断,经济风险的关键风险因子为上游原材料价格上涨,政策风险的关键风险因子为行业标准滞后,环境风险的关键风险因子为产业链协作不充分。
3 结 论
本文提出了一个技术主题识别、演化分析和风险分析的集成研究框架,以2013—2022/6时间范围内的电化学储能电池技术专利数据为研究对象,首先针对全球专利申请特征进行了分析,然后使用LDA主题模型从电化学储能电池技术专利中识别潜在的技术主题,从电化学储能电池产业链、电池类型角度及所含专利数量角度解读技术主题,并分析各个技术主题在2013—2020年的演化趋势,最后使用贝叶斯网络模型从技术、政策、经济、环境方面评估了热门技术领域发展的风险水平及关键风险因子,实现了电化学储能电池技术专利领域的主题细分以及对热点主题的判断和风险评估。基于对电化学储能电池技术深入的专利文本分析,揭示了与电化学储能产业链紧密相关的技术研发主题及热门技术发展的风险,可以为电化学储能电池技术的发展规划与研发决策提供科学的依据。
(1)根据全球专利申请情况的宏观分析,全球专利申请量在2013—2022/6总体呈持续增长态势,其中2016—2018年增长幅度较大,反映该时间内电化学储能电池技术发展速度较快。从专利局角度来看,通过中国专利局申请的专利数量最多,约占全球总量的63.5%,随后依次分别为美国专利局、世界知识产权组织(PCT专利)和日本专利局。
(2)本文共识别出电化学储能电池技术领域存在15个技术主题。从电化学储能电池产业链角度来看,共有6个主题与上游原材料有关,5个主题与中游加工有关,2个主题与下游应用与回收有关;从主题所含专利数量角度分析,排名前五位的主题分别为电池生产制造相关装置及设备、电极复合材料、电极活性物质材料、正负电极制备方法和电解液及其制备,排名第二至五位的主题均与上游原材料相关,涉及电池关键组件电极和电解液。以上两个角度的分析,均表明对电化学储能本体技术而言,电池的上游原材料相关技术是全球技术研发的关键领域。从电池类型角度分析,锂离子电池、氧化还原液流电池、铅酸电池和金属-空气电池是目前专利研发数量较多的电池类型。而诸如钙离子电池等其他新型电池技术[11],由于目前专利研发数量较少,未被LDA模型识别为技术主题。
(3)通过对各个技术每年主题重要度的计算,将15个主题划分为4个上升型主题,6个平稳型主题和5个衰退型主题。平稳型主题中,电极复合材料和正负电极制备方法的技术主题重要度一直处于较高水平,表明这两个技术领域一直是化学储能技术研发的热点。衰退型主题中,电极活性物质材料主题重要度不断下降,但仍始终高于其他主题,表明该技术主题虽然是研发热点,但可能存在研究饱和的现象或遭遇技术瓶颈。上升型主题代表了电化学储能电池技术领域整体的研发方向,四个主题分别为电池生产制造相关装置及设备、电池组性能优化及应用、电池干燥方法和电池封装,多涉及中游加工技术领域,表明研究人员正愈发关注电化学储能电池在实际生产制造环节的相关技术保障。
(4)通过在产业链角度下对电化学储能电池产业链中游加工技术发展进行风险分析,其技术发展目前面临的总风险处于中等水平,表明目前中游加工技术发展存在一定风险,但总体风险仍处于可控范围内。通过对不同风险类型的风险水平计算,风险水平值由高到低的风险类型依次是技术风险、政策风险、经济风险和环境风险,表明技术发展面临的风险中内部因素为首要风险因素,外部因素中政策因素风险水平最高。关键风险因子有关键技术垄断、上游原材料价格上涨、行业标准滞后、产业链协作不充分。风险分析结果表明电化学储能电池中游加工技术实现高质量可持续发展需要打破关键技术垄断,注重核心技术的研发,制定规范的行业标准以保障电池加工的质量,同时加强产业链各环节的协作水平,通过规模经济效应和自动化水平的提升带来成本的降低,以在一定程度上减小上游原材料价格上涨带来的风险影响。
综上,在目前不断加大对电化学储能电池产业链中游加工相关技术研发力度的同时,应注重核心技术的突破并规范行业标准,加强产业链协作水平以实现中游加工技术的高质量发展,并且仍需努力实现上游原材料关键技术的突破,例如电极活性物质材料的研发,唯有上游关键技术的不断突破方能使得后续中游及下游技术研发保持可持续性。此外,还应关注目前尚不成熟但有望突破的电池类型,例如目前由于存在技术难点但有望取代锂离子电池的钙离子电池技术,不断寻找新的技术突破方向,为未来电化学储能电池技术注入持续发展动力。
http://dx.doi.org/10.19799/j.cnki.2095-4239.2023.0188
http://dx.doi.org/10.19799/j.cnki.2095-4239.2023.0188
参考文献
/
| 〈 |
|
〉 |
